數據 - 的 同標籤文章 - 共有 302 篇文章 搜尋時間 0.01 秒
NETGEAR R7100 無線路由器討論文 – 舊樓上網突破 6Mbps,4G LTE 路由器搭配「無限速」無限上網計劃
2017-05-02 17:08:22 by Stone IP 石先生 @ 石先生部落 [引用來源]
公司位處舊樓,上網只能依靠又舊又慢的 6Mbps 線,但它總會在最忙碌的時候跟你鬧脾氣,工作事倍功半。打電話到客戶服務中心,服務員還跟你說你的上網速度達到 4Mbps 已經算不錯,真心令人唔噪都變噪。有時候氣上來直接用自己手機開啓網路分享以保暢通。 奈何手機上網始終不是無限數據,必須尋找終極解決之法。經過一輪探討,最後與公司同事決定以 csl 的「450速」計劃與 NETG...... [閱讀更多]
雄安概念股股東減持計劃清單!(附首季業績預告)
2017-04-19 00:08:49 by iiix @ 歌穀穀 [引用來源]
數據是個寶 數據寶 炒股不煩惱 15隻雄安概念股公佈停牌核查結果,今日集體復牌。攜復牌公告出爐的還包括股東減持情況或減持計劃。 今日大盤一度失守3200點,百餘股跌停。今日復牌的15隻雄安概念股表現各異,4隻收盤繼續封住漲停板,6隻則走勢大逆轉,股價跌停。 4家公司股東減持或發佈減持計劃 數據寶對15家公司停牌核查結果暨股票復牌相...... [閱讀更多]
Excel匯總按鈕你真的會用嗎?
2017-04-06 01:17:26 by iiix @ 歌穀穀 [引用來源]
匯總按鈕是Excel中 數據匯總功能的快捷按鈕 它在「開始」選項卡的「編輯」區域 最常見的用法,一般是 滑鼠放在一組數字下面的單元格 .按鈕,生成「求和」結果 或是滑鼠選取一組數字 .按鈕,生成「求和」結果 事情當然沒有那麼簡單! 這個按鈕,還能同時獲取 相鄰幾行或幾列的匯總 同時...... [閱讀更多]
我的人生我操盤|A股「老司機」的撿錢指南!
2017-04-04 02:18:00 by iiix @ 歌穀穀 [引用來源]
數據是個寶 數據寶 炒股不煩惱 小長假不知大家是在景區堵堵堵的路上瞭呢,還是在家宅。 今天小編看到一些A股「老司機」的投資心得。 雖然沒有大師級的「字字珠璣」,但用草根心態總結瞭自己多年的A股投資感悟,很「接地氣」。 分享給大家。 音樂資源加載中… 1 男:老闆,你這兒洗澡多少錢? 老闆:男浴池10元,女浴池10...... [閱讀更多]
重磅 | 谷歌無人駕駛單車橫空出世 我可能看瞭假的黑科技
2017-04-02 14:16:18 by iiix @ 歌穀穀 [引用來源]
大數據文摘作品,轉載要求見文末 作者 | 崔雲柯 早前,谷歌對外發佈訊息,表示已成功將無人駕駛技術應用到單車駕駛上,假以時日,在單車上就能實現辦公、娛樂的智慧駕駛時代就要到來…… 我們特地整瞭一籮筐 科技領域內有趣而新鮮的「黑科技」, 請大家仔細瀏覽我們 為大家準備的影音圖文資料, 別忘瞭在我們文末的互動專區告訴我們, 你覺得哪些不是真的……...... [閱讀更多]
揭開微信指數神秘面紗
2017-03-25 13:27:45 by iiix @ 歌穀穀 [引用來源]
3月23日晚,微信官方指數數據微信指數正式上線,自此,繼百度指數、新浪指數、阿裡指數、搜狗指數、好搜指數之後,又一強有力指數上線。每次各類指數上線,最關心的總是一線市場人員,本次微信指數上線也不例外,小編試著從數據人的角度出發,帶大家認識認識剛上線的微信指數。 什麼是微信指數? 微信官方給的說法是「微信指數是微信最新推出的基於微信大...... [閱讀更多]
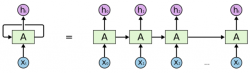
機器學習系列:遞歸神經網路
2017-03-24 03:30:58 by iiix @ 歌穀穀 [引用來源]
.上方「Datartisan數據工匠」可訂閱哦! 投稿郵箱:[email protected] 前言 BP 神經網路,訓練的時候,給定一組輸入和輸出,不斷的對權值進行訓練,使得輸出達到穩定。但 BP 神經網路並不是適合所有的場景,並不真正的體現出某些場景的真正特點。回到經典的概率論問題,拋硬幣問題,假設你已經拋瞭100次的,90次是正面的,10次是反面的,問現在繼續在拋...... [閱讀更多]
Google宣佈收購數據科學社區Kaggle
2017-03-11 10:46:21 by Eric Wong @ Android-HK [引用來源]
據 TechCrunch的報道,Google計劃收購數據科學社區Kaggle,最終的收購新聞已經通過Google Cloud Platform官方博客上正式宣佈。Kaggle成立於2010年,是一個數據建模和數據分析競賽憑條,研究機構和科學家可在這一平台上發佈數據,目前已經累計有超過80萬名數據專家使用Kaggle的數據,分析理解最前沿的機器學習技術。 HisT...... [閱讀更多]
SmarTone推出全新4.5G「大專生至Lite計劃」
2017-03-02 14:49:25 by Stone IP 石先生 @ TechRitual [引用來源]
SmarTone全新4.5G 「大專生至Lite計劃」,月費只需HK$128,即可專享 6GB本地數據及無限通話分鐘,毋須簽約,具彈性之餘亦可時刻與buddy保持緊密聯繫,體驗SmarTone快、穩、順的4.5G強勢網路。 SmarTone亦有為大專生提供其他服務計劃,如果同學們想享用更多數據用量、免費聽音樂及於外遊時分享旅遊點滴,可選擇「大專特大賞頭計劃」。此計劃可享8GB數據、免費...... [閱讀更多]
一不離二! 中移動再次網路癱瘓
2017-02-26 16:56:43 by Blackie Digital @ Android-HK [引用來源]
最近頻頻推出新計劃的網路商中移動,未知是否因為用戶數目增加而未能應付,繼上個月後今日再度出現網路癱瘓,網上多名用戶表示手機信號無故消失,亦未能使用數據上網。至於中移動則在Facebook表示,是次問題是由於電力配套出現故障,因此語音和數據服務會受到影響。 HisTrend.HK 限時褔利品:USB Type-C 轉接頭 HK$30 四枚 http://www...... [閱讀更多]

